公式的样式有很多,有简单运算符号组合的,也包括由简单数学公式组合起来的复杂公式。比如在化学反应方程式中,我们需要在公式的等号上面输入反应条件,作为新手,可能不知道如何在公式编辑器中进行操作,下面就一起来学习具体操作技巧。
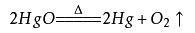
比如要在MathType中打出如下图所示的公式:

具体操作步骤如下:
步骤一
先打出等号左边的内容。打开公式编辑器软件,使用电脑键盘依次输入“2”、“H”、“g”、“O”,最终如下图所示。

提示:在使用MathType时,都是用来编辑一些严谨的数学公式,所以不建议用破解版公式编辑器,还是访问官网下载正版软件比较靠谱。
步骤二
打出等号及其上面的三角符号。先选择工具栏上面的两行一列矩阵模版,然后在上面的方框中选择双底线模版,就可以打出等号,然后在光标所在的地方输入三角符号,该符号可以在希腊字母模版下找到。

MathType公式编辑器中包含了许多的数学符号,可以打出很多复杂的数学公式,比如要打出六角括号,
如果想要等号长一点,就需要将光标放在三角形的前后,在样式菜单下选择文本,然后按空格键,就可以使等号变长,如下图所示。

步骤三
打出等号右边的内容。使用电脑键盘依次输入“2”、“H”、“g”、“+”、“O”,然后选择下标模版,输入数字2,然后在箭头符号模版中选择向上箭头,最终公式如下图所示。

以上就是给大家讲解的在等号上输入内容的方法,掌握了以上技巧,就可以轻松地编辑化学反应方程式,从而在Word等软件中运用。点击MathType免费下载即可获取最新版公式编辑器,从而用来编辑公式。