深度确定性策略梯度(Deep Deterministic Policy Gradient, DDPG)是受Deep Q-Network启发的无模型、非策略深度强化算法,是基于使用策略梯度的Actor-Critic,本文将使用pytorch对其进行完整的实现和讲解

DDPG的关键组成部分是
- Replay Buffer
- Actor-Critic neural network
- Exploration Noise
- Target network
- Soft Target Updates for Target Network
下面我们一个一个来逐步实现:
Replay Buffer
DDPG使用Replay Buffer存储通过探索环境采样的过程和奖励(Sₜ,aₜ,Rₜ,Sₜ+₁)。Replay Buffer在帮助代理加速学习以及DDPG的稳定性方面起着至关重要的作用:
- 最小化样本之间的相关性:将过去的经验存储在 Replay Buffer 中,从而允许代理从各种经验中学习。
- 启用离线策略学习:允许代理从重播缓冲区采样转换,而不是从当前策略采样转换。
- 高效采样:将过去的经验存储在缓冲区中,允许代理多次从不同的经验中学习。
class Replay_buffer(): ''' Code based on: https://github.com/openai/baselines/blob/master/baselines/deepq/replay_buffer.py Expects tuples of (state, next_state, action, reward, done) ''' def __init__(self, max_size=capacity): """Create Replay buffer. Parameters ---------- size: int Max number of transitions to store in the buffer. When the buffer overflows the old memories are dropped. """ self.storage = [] self.max_size = max_size self.ptr = 0 def push(self, data): if len(self.storage) == self.max_size: self.storage[int(self.ptr)] = data self.ptr = (self.ptr + 1) % self.max_size else: self.storage.append(data) def sample(self, batch_size): """Sample a batch of experiences. Parameters ---------- batch_size: int How many transitions to sample. Returns ------- state: np.array batch of state or observations action: np.array batch of actions executed given a state reward: np.array rewards received as results of executing action next_state: np.array next state next state or observations seen after executing action done: np.array done[i] = 1 if executing ation[i] resulted in the end of an episode and 0 otherwise. """ ind = np.random.randint(0, len(self.storage), size=batch_size) state, next_state, action, reward, done = [], [], [], [], [] for i in ind: st, n_st, act, rew, dn = self.storage[i] state.append(np.array(st, copy=False)) next_state.append(np.array(n_st, copy=False)) action.append(np.array(act, copy=False)) reward.append(np.array(rew, copy=False)) done.append(np.array(dn, copy=False)) return np.array(state), np.array(next_state), np.array(action), np.array(reward).reshape(-1, 1), np.array(done).reshape(-1, 1)
Actor-Critic Neural Network
这是Actor-Critic 强化学习算法的 PyTorch 实现。该代码定义了两个神经网络模型,一个 Actor 和一个 Critic。
Actor 模型的输入:环境状态;Actor 模型的输出:具有连续值的动作。
Critic 模型的输入:环境状态和动作;Critic 模型的输出:Q 值,即当前状态-动作对的预期总奖励。
class Actor(nn.Module): """ The Actor model takes in a state observation as input and outputs an action, which is a continuous value. It consists of four fully connected linear layers with ReLU activation functions and a final output layer selects one single optimized action for the state """ def __init__(self, n_states, action_dim, hidden1): super(Actor, self).__init__() self.net = nn.Sequential( nn.Linear(n_states, hidden1), nn.ReLU(), nn.Linear(hidden1, hidden1), nn.ReLU(), nn.Linear(hidden1, hidden1), nn.ReLU(), nn.Linear(hidden1, 1) ) def forward(self, state): return self.net(state) class Critic(nn.Module): """ The Critic model takes in both a state observation and an action as input and outputs a Q-value, which estimates the expected total reward for the current state-action pair. It consists of four linear layers with ReLU activation functions, State and action inputs are concatenated before being fed into the first linear layer. The output layer has a single output, representing the Q-value """ def __init__(self, n_states, action_dim, hidden2): super(Critic, self).__init__() self.net = nn.Sequential( nn.Linear(n_states + action_dim, hidden2), nn.ReLU(), nn.Linear(hidden2, hidden2), nn.ReLU(), nn.Linear(hidden2, hidden2), nn.ReLU(), nn.Linear(hidden2, action_dim) ) def forward(self, state, action): return self.net(torch.cat((state, action), 1))
Exploration Noise
向 Actor 选择的动作添加噪声是 DDPG 中用来鼓励探索和改进学习过程的一种技术。
可以使用高斯噪声或 Ornstein-Uhlenbeck 噪声。 高斯噪声简单且易于实现,Ornstein-Uhlenbeck 噪声会生成时间相关的噪声,可以帮助代理更有效地探索动作空间。但是与高斯噪声方法相比,Ornstein-Uhlenbeck 噪声波动更平滑且随机性更低。
import numpy as np import random import copy class OU_Noise(object): """Ornstein-Uhlenbeck process. code from : https://math.stackexchange.com/questions/1287634/implementing-ornstein-uhlenbeck-in-matlab The OU_Noise class has four attributes size: the size of the noise vector to be generated mu: the mean of the noise, set to 0 by default theta: the rate of mean reversion, controlling how quickly the noise returns to the mean sigma: the volatility of the noise, controlling the magnitude of fluctuations """ def __init__(self, size, seed, mu=0., theta=0.15, sigma=0.2): self.mu = mu * np.ones(size) self.theta = theta self.sigma = sigma self.seed = random.seed(seed) self.reset() def reset(self): """Reset the internal state (= noise) to mean (mu).""" self.state = copy.copy(self.mu) def sample(self): """Update internal state and return it as a noise sample. This method uses the current state of the noise and generates the next sample """ dx = self.theta * (self.mu - self.state) + self.sigma * np.array([np.random.normal() for _ in range(len(self.state))]) self.state += dx return self.state
要在DDPG中使用高斯噪声,可以直接将高斯噪声添加到代理的动作选择过程中。
DDPG
DDPG (Deep Deterministic Policy Gradient)采用两组Actor-Critic神经网络进行函数逼近。在DDPG中,目标网络是Actor-Critic ,它目标网络具有与Actor-Critic网络相同的结构和参数化。
在训练期时,代理使用其 Actor-Critic 网络与环境交互,并将经验元组(Sₜ、Aₜ、Rₜ、Sₜ+₁)存储在Replay Buffer中。 然后代理从 Replay Buffer 中采样并使用数据更新 Actor-Critic 网络。 DDPG 算法不是通过直接从 Actor-Critic 网络复制来更新目标网络权重,而是通过称为软目标更新的过程缓慢更新目标网络权重。

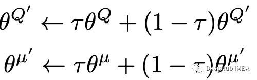
软目标的更新是从Actor-Critic网络传输到目标网络的称为目标更新率(τ)的权重的一小部分。
软目标的更新公式如下:

通过使用软目标技术,可以大大提高学习的稳定性。
#Set Hyperparameters # Hyperparameters adapted for performance from capacity=1000000 batch_size=64 update_iteration=200 tau=0.001 # tau for soft updating gamma=0.99 # discount factor directory = './' hidden1=20 # hidden layer for actor hidden2=64. #hiiden laye for critic class DDPG(object): def __init__(self, state_dim, action_dim): """ Initializes the DDPG agent. Takes three arguments: state_dim which is the dimensionality of the state space, action_dim which is the dimensionality of the action space, and max_action which is the maximum value an action can take. Creates a replay buffer, an actor-critic networks and their corresponding target networks. It also initializes the optimizer for both actor and critic networks alog with counters to track the number of training iterations. """ self.replay_buffer = Replay_buffer() self.actor = Actor(state_dim, action_dim, hidden1).to(device) self.actor_target = Actor(state_dim, action_dim,hidden1).to(device) self.actor_target.load_state_dict(self.actor.state_dict()) self.actor_optimizer = optim.Adam(self.actor.parameters(), lr=3e-3) self.critic = Critic(state_dim, action_dim,hidden2).to(device) self.critic_target = Critic(state_dim, action_dim,hidden2).to(device) self.critic_target.load_state_dict(self.critic.state_dict()) self.critic_optimizer = optim.Adam(self.critic.parameters(), lr=2e-2) # learning rate self.num_critic_update_iteration = 0 self.num_actor_update_iteration = 0 self.num_training = 0 def select_action(self, state): """ takes the current state as input and returns an action to take in that state. It uses the actor network to map the state to an action. """ state = torch.FloatTensor(state.reshape(1, -1)).to(device) return self.actor(state).cpu().data.numpy().flatten() def update(self): """ updates the actor and critic networks using a batch of samples from the replay buffer. For each sample in the batch, it computes the target Q value using the target critic network and the target actor network. It then computes the current Q value using the critic network and the action taken by the actor network. It computes the critic loss as the mean squared error between the target Q value and the current Q value, and updates the critic network using gradient descent. It then computes the actor loss as the negative mean Q value using the critic network and the actor network, and updates the actor network using gradient ascent. Finally, it updates the target networks using soft updates, where a small fraction of the actor and critic network weights are transferred to their target counterparts. This process is repeated for a fixed number of iterations. """ for it in range(update_iteration): # For each Sample in replay buffer batch state, next_state, action, reward, done = self.replay_buffer.sample(batch_size) state = torch.FloatTensor(state).to(device) action = torch.FloatTensor(action).to(device) next_state = torch.FloatTensor(next_state).to(device) done = torch.FloatTensor(1-done).to(device) reward = torch.FloatTensor(reward).to(device) # Compute the target Q value target_Q = self.critic_target(next_state, self.actor_target(next_state)) target_Q = reward + (done * gamma * target_Q).detach() # Get current Q estimate current_Q = self.critic(state, action) # Compute critic loss critic_loss = F.mse_loss(current_Q, target_Q) # Optimize the critic self.critic_optimizer.zero_grad() critic_loss.backward() self.critic_optimizer.step() # Compute actor loss as the negative mean Q value using the critic network and the actor network actor_loss = -self.critic(state, self.actor(state)).mean() # Optimize the actor self.actor_optimizer.zero_grad() actor_loss.backward() self.actor_optimizer.step() """ Update the frozen target models using soft updates, where tau,a small fraction of the actor and critic network weights are transferred to their target counterparts. """ for param, target_param in zip(self.critic.parameters(), self.critic_target.parameters()): target_param.data.copy_(tau * param.data + (1 - tau) * target_param.data) for param, target_param in zip(self.actor.parameters(), self.actor_target.parameters()): target_param.data.copy_(tau * param.data + (1 - tau) * target_param.data) self.num_actor_update_iteration += 1 self.num_critic_update_iteration += 1 def save(self): """ Saves the state dictionaries of the actor and critic networks to files """ torch.save(self.actor.state_dict(), directory + 'actor.pth') torch.save(self.critic.state_dict(), directory + 'critic.pth') def load(self): """ Loads the state dictionaries of the actor and critic networks to files """ self.actor.load_state_dict(torch.load(directory + 'actor.pth')) self.critic.load_state_dict(torch.load(directory + 'critic.pth'))
训练DDPG
这里我们使用 OpenAI Gym 的“MountainCarContinuous-v0”来训练我们的DDPG RL 模型,这里的环境提供连续的行动和观察空间,目标是尽快让小车到达山顶。

下面定义算法的各种参数,例如最大训练次数、探索噪声和记录间隔等等。 使用固定的随机种子可以使得过程能够回溯。
import gym # create the environment env_name='MountainCarContinuous-v0' env = gym.make(env_name) device = 'cuda' if torch.cuda.is_available() else 'cpu' # Define different parameters for training the agent max_episode=100 max_time_steps=5000 ep_r = 0 total_step = 0 score_hist=[] # for rensering the environmnet render=True render_interval=10 # for reproducibility env.seed(0) torch.manual_seed(0) np.random.seed(0) #Environment action ans states state_dim = env.observation_space.shape[0] action_dim = env.action_space.shape[0] max_action = float(env.action_space.high[0]) min_Val = torch.tensor(1e-7).float().to(device) # Exploration Noise exploration_noise=0.1 exploration_noise=0.1 * max_action
创建DDPG代理类的实例,以训练代理达到指定的次数。在每轮结束时调用代理的update()方法来更新参数,并且在每十轮之后使用save()方法将代理的参数保存到一个文件中。
# Create a DDPG instance
agent = DDPG(state_dim, action_dim)
# Train the agent for max_episodes
for i in range(max_episode):
total_reward = 0
step =0
state = env.reset()
fort in range(max_time_steps):
action = agent.select_action(state)
# Add Gaussian noise to actions for exploration
action = (action + np.random.normal(0, 1, size=action_dim)).clip(-max_action, max_action)
#action += ou_noise.sample()
next_state, reward, done, info = env.step(action)
total_reward += reward
if render and i >= render_interval : env.render()
agent.replay_buffer.push((state, next_state, action, reward, np.float(done)))
state = next_state
if done:
break
step += 1
score_hist.append(total_reward)
total_step += step+1
print("Episode: t{} Total Reward: t{:0.2f}".format( i, total_reward))
agent.update()
if i % 10 == 0:
agent.save()
env.close()测试DDPG
test_iteration=100
for i in range(test_iteration):
state = env.reset()
for t in count():
action = agent.select_action(state)
next_state, reward, done, info = env.step(np.float32(action))
ep_r += reward
print(reward)
env.render()
if done:
print("reward{}".format(reward))
print("Episode t{}, the episode reward is t{:0.2f}".format(i, ep_r))
ep_r = 0
env.render()
break
state = next_state我们使用下面的参数让模型收敛:
- 从标准正态分布中采样噪声,而不是随机采样。
- 将polyak常数(tau)从0.99更改为0.001
- 修改Critic 网络的隐藏层大小为[64,64]。在Critic 网络的第二层之后删除了ReLU激活。改成(Linear, ReLU, Linear, Linear)。
- 最大缓冲区大小更改为1000000
- 将batch_size的大小从128更改为64
训练了75轮之后的效果如下:

总结
DDPG算法是一种受deep Q-Network (DQN)算法启发的无模型off-policy Actor-Critic算法。它结合了策略梯度方法和Q-learning的优点来学习连续动作空间的确定性策略。
与DQN类似,它使用重播缓冲区存储过去的经验和目标网络,用于训练网络,从而提高了训练过程的稳定性。
DDPG算法需要仔细的超参数调优以获得最佳性能。超参数包括学习率、批大小、目标网络更新速率和探测噪声参数。超参数的微小变化会对算法的性能产生重大影响。